Sistem Pendukung Keputusan (SPK) ADEM Metode ELECTRE
Sistem Pengambilan Keputusan Untuk Menentukan Penerima Beasiswa Afirmasi Pendidikan Menengah (ADEM) Menggunakan Metode Elimination and Choice Translation eality (Electre).
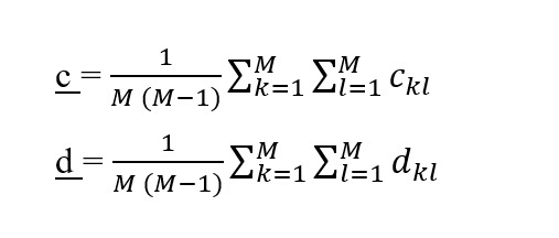
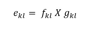
Metode Electre merupakan salah satu metode pengambilan keputusan multikriteria berdasarkan pada konsep outranking dengan menggunakan perbandingan berpasangan dari alternatif - alternatif berdasarkan setiap kriteria yang sesuai dengan kriteria dieliminasi, dan alternatif yang sesuai dapat dihasilkan.
Tahapan
Terdapat 7 tahap dalam pengambilan keputusan menggunakan metode Electre, antara lain: